Statistika
Menghitung Ukuran Data dari Data Berkelompok
Menghitung Ukuran Data dari Data Berkelompok
Data berkelompok adalah cara penyajian data yang menggunakan tabel distribusi frekuensi dimana data tersebut dikelompokkan ke dalam interval tertentu.
Pengelompokkan data yang disajikan dalam suatu tabel
dinamakan Distribusi Frekuensi.
Cara menyusun
Daftar Distribusi Frekuensi dari suatu data pencar :
- Tentukan jangkauan data (J) = data terbesar - data terkecil
- Tentukan banyak kelas (k) dengan menggunakan ATURAN STURGESS, yaitu : k = 1 + 3,3 log n, dimana n adalah banyak data. Harga k diambil harga bilangan bulat yang mendekati harga asal
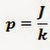
- Tentukan
panjang kelas (p) dengan rumus
Harga
p diambil harga bilangan bulat yang mendekati harga p asal (kalau bisa
diambil harga p yang ganjil agar titik tengah masing-masing kelas berupa
bilangan bulat). - Tentukan batas bawah kelas pertama. Bisa mengambil harga data terkecil atau yang lebih kecil dengan syarat selisihnya harus kurang dari harga panjang kelas yang diambil.
- Tentukan frekuensinya dengan menggunakan bantuan turus/ tabulasi.
Sign up here with your email
